강한 연결 요소 (Strongly Connected Component)
방향성이 존재하는 유향 그래프에서 모든 정점이 다른 모든 정점들에 대하여 방문할 수 있는 경우 즉, 어떤 두 정점 간의 경로가 존재하면 그 집단이 강하게 연결되었다고 표현합니다. 이것을 강한 연결 요소 혹은 강한 결합 요소라고 말합니다. 또한 전체 그래프가 강한 연결 요소가 아니더라도 전체 그래프의 부분 그래프 안의 정점들이 강한 연결 요소로 묶여있다면 그 부분 그래프는 강한 연결 요소가 됩니다. 이것으로 볼 때, 강한 연결 요소가 성립하는 그래프는 반드시 하나의 유향 사이클을 포함하는 그래프입니다.
알고리즘 원리

깊이 우선 탐색(DFS)을 기반으로 하는 선형 탐색 알고리즘을 사용할 수 있습니다. 코사라주의 알고리즘과 타잔의 알고리즘이 있으며 그 중 알고리즘 적용이 쉬운 타잔의 알고리즘을 통해 위 그래프에서 강한 연결 요소(SCC)를 찾아보겠습니다. 타잔의 알고리즘은 단순히 말하면 한번의 DFS를 수행하여 스택을 사용해 SCC를 추출하는 알고리즘입니다.

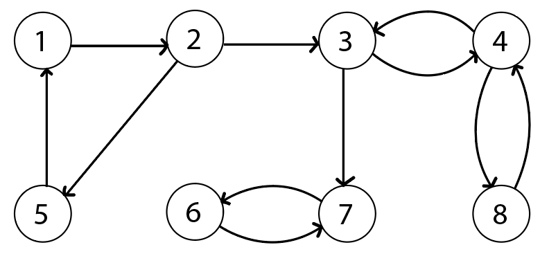
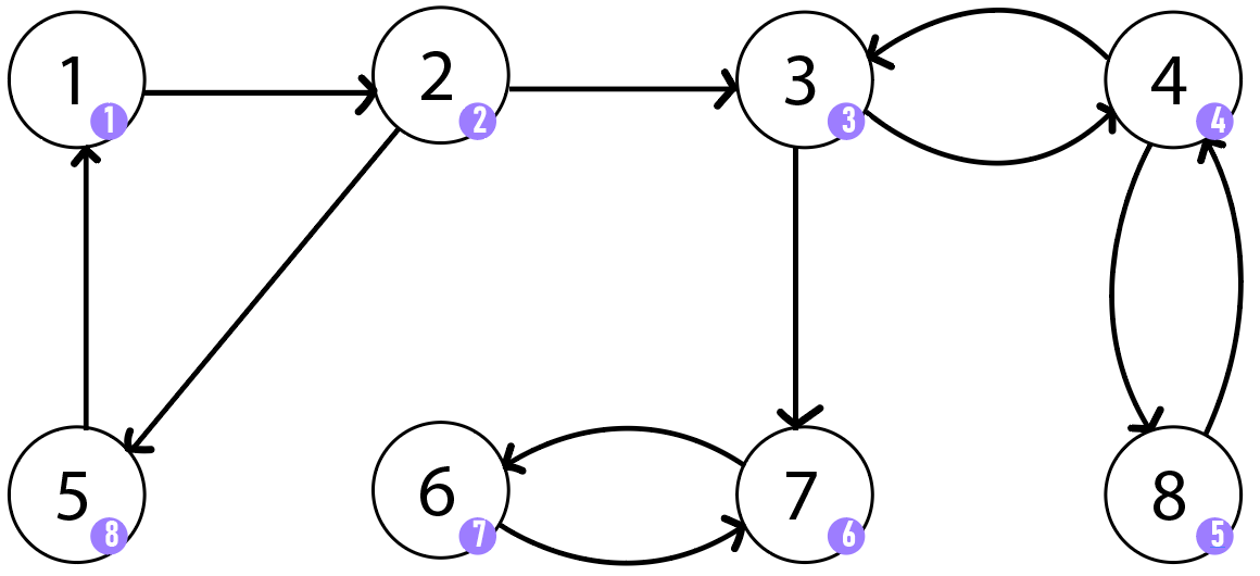
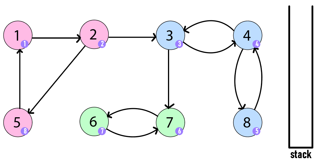
기본적으로 위 그래프의 DFS 수행 순서, 즉 아직 방문하지 않은 정점에 대하여 방문하는 순서에 따라 각 정점에 고유한 id값을 매깁니다. id값은 처음에 0으로 되어있고 방문할 때마다 1씩 증가시켜 할당합니다. 방문 순서는 1 -> 2 -> 3 -> 4 -> 8 -> 7 -> 6 -> 5 가 될 것이며 방문할 때마다 해당 정점을 스택에 삽입합니다. 만약, 여러개의 정점을 방문 가능하다면 사전 순으로 우선하는 정점을 먼저 방문합니다. 자신의 부모로 돌아가는 간선은 (4, 3), (8, 4), (5, 1), (6, 7) 입니다.
각 정점에 대하여 DFS를 수행하여 SCC를 추출해보겠습니다. SCC의 발견 조건은 '자신의 자식 정점들이 자신의 부모 정점으로 갈 수 있는 경우가 없는 경우' 이며 자신을 포함한 하나의 SCC가 발견되고 스택에서 자신과 자신보다 위에 쌓여있는 정점들을 뽑아서 하나의 SCC를 성립합니다.

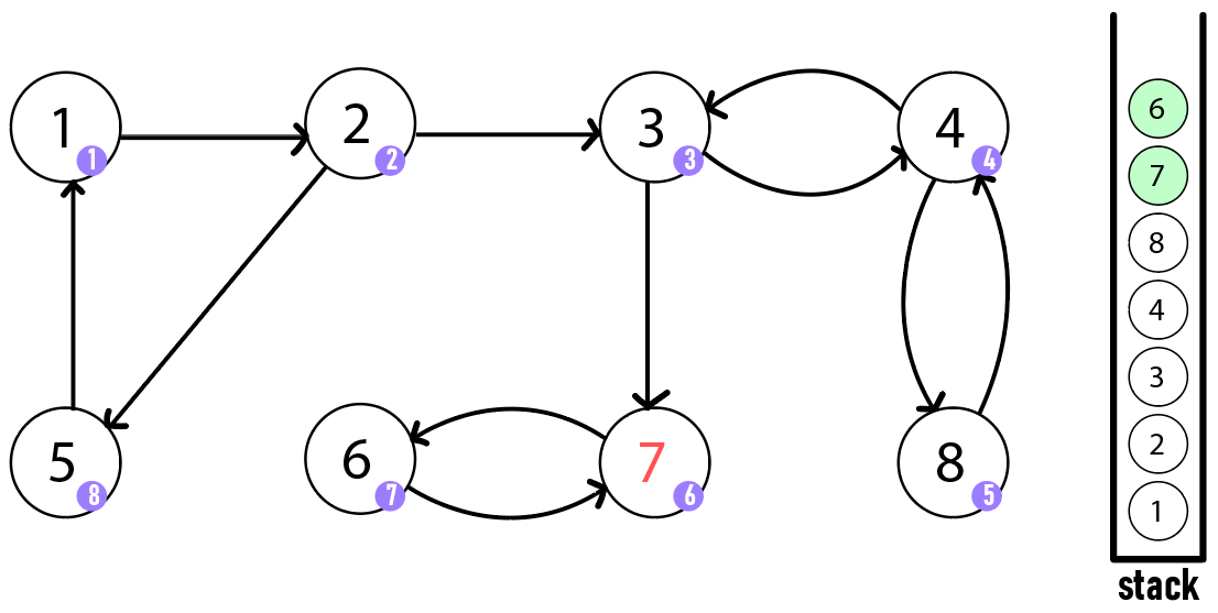
우선 정점을 방문합니다. 방향 간선대로 1, 2, 3, 4, 8을 방문하고 스택에 삽입합니다. 정점 8은 방문할 수 있는 정점이 정점 4인데 자신의 부모 정점이므로 SCC의 발견 조건에 맞지 않아 종료합니다.

정점 4도 마찬가지로 자신의 부모 정점인 정점 3으로 갈 수 있으므로 조건에 맞지 않아 종료합니다.

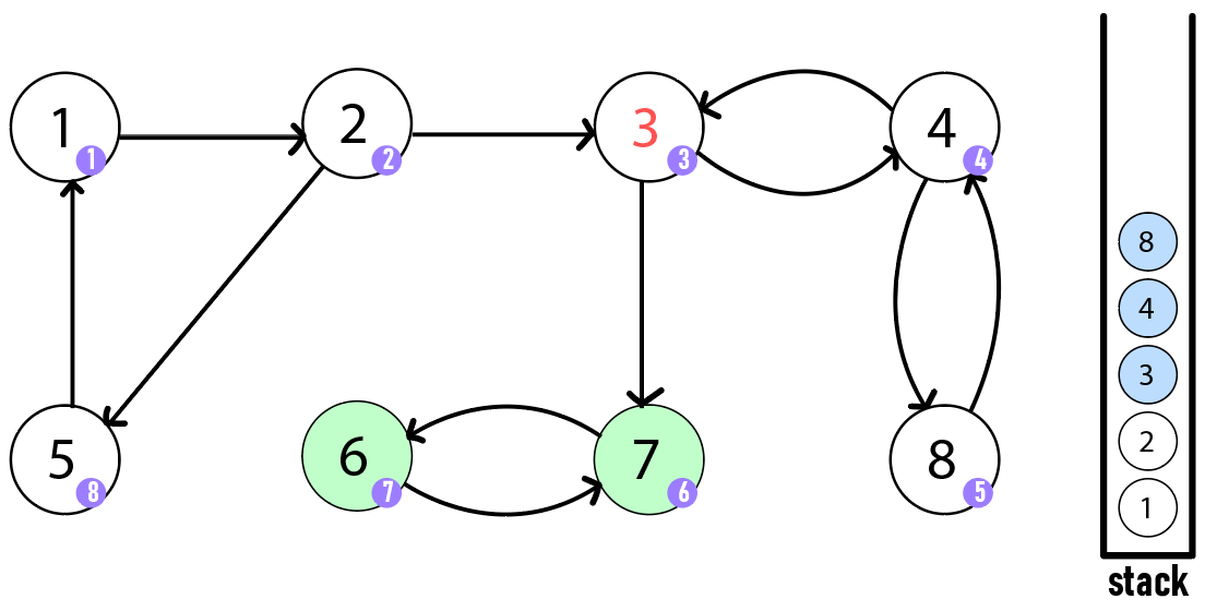
그 다음 정점 3은 정점 7로 방문할 수 있습니다. 정점 7을 방문하고 스택에 삽입합니다. 다시 정점 7은 정점 6을 방문하여 스택에 삽입합니다. 정점 6은 자신의 부모 정점 7로 갈 수 있으므로 조건에 맞지 않아 종료합니다.

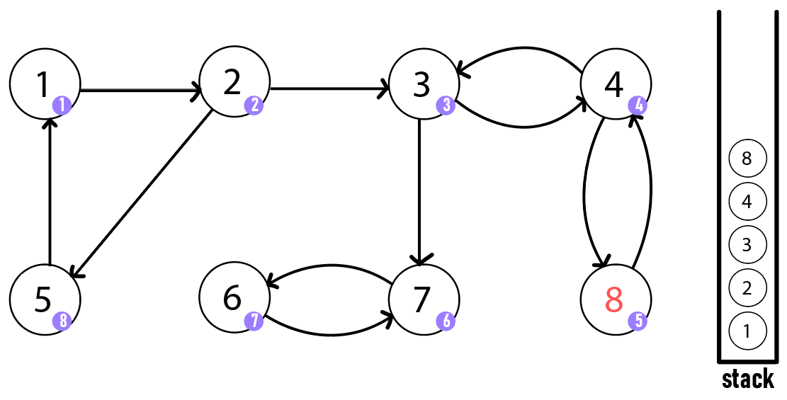
정점 7로 돌아갔고 정점 7은 돌아갈 수 있는 부모 정점이 없으므로 SCC 발견 조건을 만족합니다. 정점 7과 자신의 자식 정점인 정점 6도 마찬가지로 정점 7의 부모 정점으로 돌아갈 수 없습니다. 그러므로 SCC를 추출하게 됩니다. 스택에서 정점 7과 그 위에 쌓여있는 정점 6을 묶어서 하나의 SCC를 성립합니다.

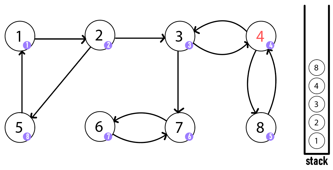
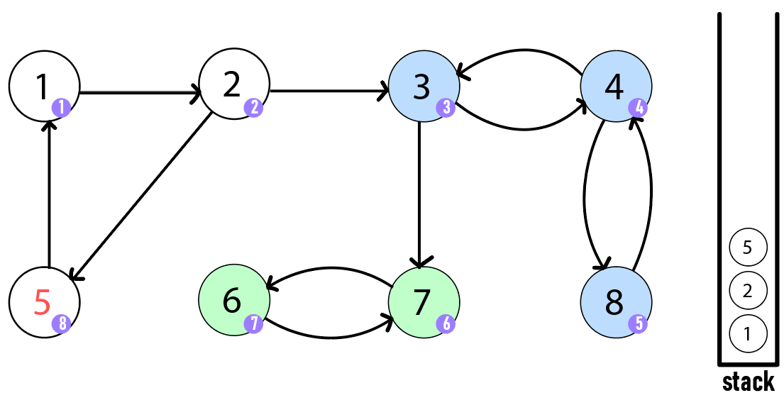
이제 정점 3으로 돌아갔을 때 정점 3은 더이상 방문할 수 있는 정점이 없으므로 SCC 발견 조건을 만족합니다. 그러므로 스택에서 정점 3과 그 위에 쌓여있는 정점 4와 8을 묶어서 하나의 SCC를 성립합니다. 정점 7도 정점 3의 자식 정점이지만 이미 다른 SCC로 추출되어 스택에서 빠져나갔기 때문에 정점 3과는 다른 SCC로 각각 속하게 되는 것입니다.

정점 2로 돌아가서 정점 2는 아직 방문하지 않은 정점 5를 방문합니다. 정점 5는 부모 정점 1로 갈 수 있으므로 종료합니다.

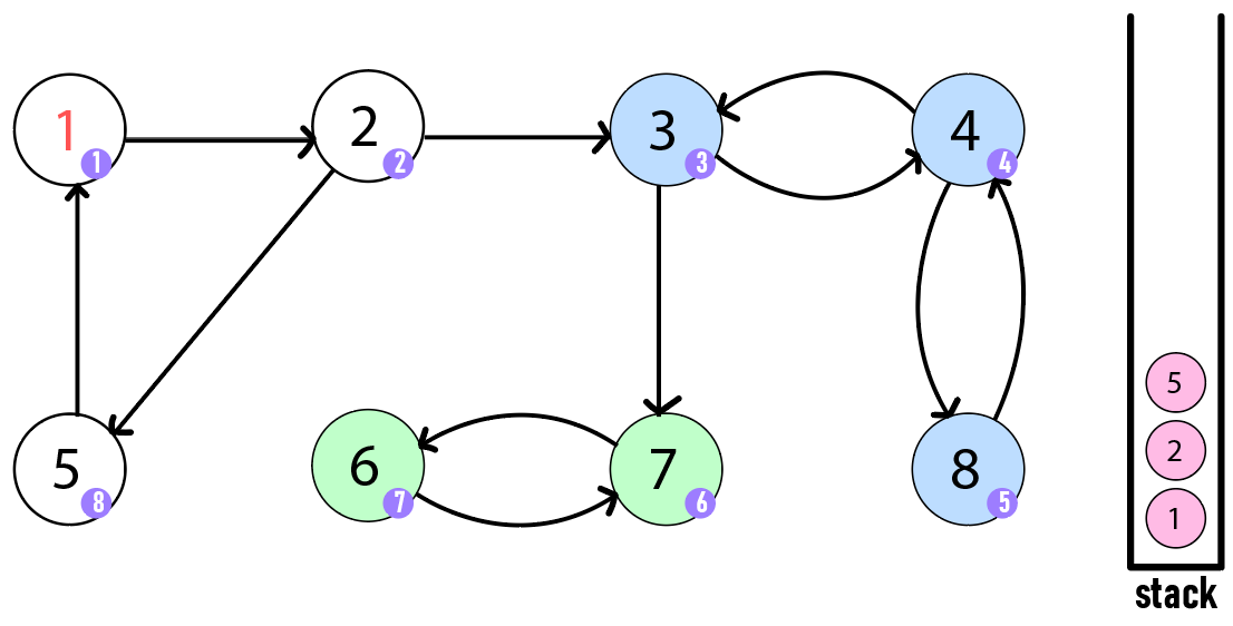
정점 1로 갔을 때 정점 1은 자신이 루트 정점이었으므로 돌아갈 부모 정점이 없어 SCC 발견 조건을 만족합니다. 자기 자신인 정점 1을 포함하여 그 위에 쌓인 정점 2와 정점 5가 하나의 SCC로 성립합니다.

모든 SCC를 발견하여 스택이 비었고 결과적으로 [정점 6, 7], [정점 3, 4, 8], [정점 1, 2, 5]가 강한 연결 요소가 됩니다.
알고리즘 구현
// Algorithm Analysis
// 강한 연결 요소 (Strongly Connected Component)
#include <cstdio>
#include <vector>
#include <stack>
#include <algorithm>
using namespace std;
const int MAX = 10001;
int v, e, id;
int d[MAX];
int sccNum; // scc 개수
int sn[MAX]; // i가 속한 SCC의 번호
vector<int> a[MAX];
bool finished[MAX]; // SCC 성립되면 true
stack<int> s;
vector<vector<int>> SCC;
int DFS(int c) {
d[c] = ++id; // 정점에 고유 id 할당
s.push(c); // 스택에 자신을 삽입
int result = d[c];
for (int next : a[c]) {
// 아직 방문하지 않은 정점이면
if (d[next] == 0) result = min(result, DFS(next));
// 방문은 했으나 아직 SCC로 성립하지 않은 정점이면
else if (!finished[next]) result = min(result, d[next]);
}
// 자신과 자신의 자식 정점들이 갈 수 있는 가장 높은 정점이 자신일 경우 SCC 추출
if (result == d[c]) {
vector<int> scc;
// 스택에서 자신이 나올 때까지 pop
while (1) {
int t = s.top();
s.pop();
scc.push_back(t);
finished[t] = true;
sn[t] = sccNum;
if (t == c) break;
}
sort(scc.begin(), scc.end());
SCC.push_back(scc); // SCC 추출
sccNum++;
}
return result;
}
int main() {
// 그래프 정보 입력
scanf_s("%d %d", &v, &e);
for (int i = 0; i < e; i++) {
int p, q;
scanf_s("%d %d", &p, &q);
a[p].push_back(q);
}
// DFS를 수행하며 SCC 추출
for (int i = 1; i <= v; i++) {
if (d[i] == 0) DFS(i);
}
printf("\nSCC 개수 : %d\n", sccNum);
// 각 SCC 출력
for (auto& currSCC : SCC) {
for (int curr : currSCC)
printf("%d ", curr);
printf("\n");
}
}
/* 결과 출력
SCC 개수 : 3
6 7
3 4 8
1 2 5
*/
/* 입력 그래프 정보
8 14
1 2
2 3
2 5
2 6
3 4
3 7
4 3
4 8
5 1
5 6
6 7
7 6
8 4
8 7
*/
시간 복잡도 : O(V + E)
강한 연결 요소의 시간 복잡도는 정점 수 + 간선 수입니다.
* 나동빈님 블로그를 참고하여 개인적으로 재작성한 글입니다.
'컴퓨터공학 💻 > 알고리즘' 카테고리의 다른 글
| [알고리즘] 이분 매칭 알고리즘 (Bipartite Matching) (2) | 2021.07.24 |
|---|---|
| [알고리즘] 네트워크 플로우 (Network Flow) - 에드몬드 카프 알고리즘 (Edmonds-Karp) (2) | 2021.07.22 |
| [알고리즘] 위상 정렬 알고리즘 (Topology Sort) (0) | 2021.07.16 |
| [알고리즘] 플로이드 워셜 알고리즘 (Floyd-Warshall Algorithm) (0) | 2021.07.15 |
| [알고리즘] 데이크스트라 알고리즘 (Dijkstra Algorithm) (0) | 2021.07.14 |